✕
未登录
登录后体验更多功能
首页
链接
考试
记工天
工具
建议
登录
注册
六九工地网69w.net
首页
精选
考试
记工天
工具
建议
登录
注册
首页
工具
记工
考试
登录
工具系统
本系统所有工具,都是经过计算公式,计算出来结果,工具在持续添加中,目标超500个公式
分享你的公式
共
198
个工具
计算
三角函数
单位转换
算料下料
材料查询
几何计算
生活实用
工程计算
混合液体导热系数计算公式与在线计算器
温度与液体导热系数关联式与在线计算器
温度与低压气体导热系数关联式与在线计算器
金属导热系数计算公式与在线计算器
一般物质导热系数计算公式与在线计算器
某温度时液体导热系数计算公式与在线计算器
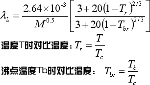
正常沸点下液体导热系数(沸点方程式)计算公式与在线计算器
低压气体导热系数计算公式与在线计算器
估算不同温度下的蒸发焓计算公式与在线计算器
液体蒸发潜热计算公式与在线计算器
液体体积压缩系数(钱学森方程)计算公式与在线计算器
液体体积膨胀系数计算公式(二)与在线计算器
上一页
1
2
3
4
5
6
7
8
9
10
11
12
13
14
15
16
17
下一页